Higher Cut-off Point for Multiple Choice Exams
How Do We Assess Multiple Choice Questions (MCQ) at Ghent University?
Since the 2014-2015 academic year, we offer 2 possible assessment methods for MCQ:
- Assessment without corrective measures for guesswork.
In this case, your mark corresponds with the number of questions you answered correctly. - Assessment with corrective measures for guesswork.
In this case, you apply a higher cut-off point or standard setting.
At Ghent University, we no longer apply the traditional corrective measure of negative marking, not even for partial MCQ exams. Negative marking means ‘punishing’ students by subtracting marks for incorrect answers.
This means that students no longer need to worry whether they should answer a question or leave it open during their exam.
With the standard-setting approach or when no corrective measures are in place, students do not lose marks for answering a question incorrectly. They receive no marks for incorrect answers.
It is in your best interest to answer all the questions, even if unsure.
When no corrective measures are applied, the final exam mark equals the number of correct answers you have given.
When the standard setting is used, the final mark is converted. Below, we explain how this is done.
What is standard setting?
When the standard setting is applied, students must correctly answer more than 50% of the questions to pass. The cut-off point or pass mark is raised to compensate for questions students answered correctly by guessing.
Other than negative marking, students no longer lose marks when they answer a multiple-choice question incorrectly, but they must answer more than half of the questions correctly to pass the exam.
For instance, with 4 answer options, students must answer 25 out of 40 questions correctly to obtain an exam mark of 10/20.
Determining the Standard Setting or a Higher Cut-off Point
Lecturers can either use a standard formula to determine the higher cut-off point or determine it themselves following other assessment methods.
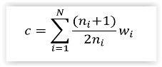
The standard formula factors in a student’s chances of lucky or intelligent guesses in MCQ exams. This chance depends on the number of answer options (n). The formula goes as follows:
In the formula
- c stands for the cut-off point (e.g., c=25 in case of 40 questions with 4 answer options)
- N stands for the number of questions or, in other words, the maximum score to be obtained (e.g., 40).
- ni stands for the number of answer options per question (e.g., 2 in true/false questions)
- Wi stands for the weight attributed to each question.
The table below is an application of this formula to an exam with 2-, 3-, 4-, 5-, and 6-answer options, respectively:
|
2-choice options |
3- choice options |
4- choice options |
5- choice options |
6- choice options |
|
75% |
66,67% |
62,50% |
60% |
58,33% |
Calculating Marks Using the Standard Setting
When the standard setting is applied, the number of correct answers is converted to the final exam mark.
If you pass the cut-off point (e.g. 25/40 questions with 4 answer options), your final mark will be 10/20. If none of your answers are correct, this would result in a negative mark, which is then converted to 0/20. If all your answers are correct, you obtain a maximum of 20/20.
The formula below can be used for this conversion.
In the formula
- y stands for the raw score (i.e., the number of correct answers)
- c stands for cut-off point (e.g., c=25 in case of 40 questions with four answer options)
- z stands for the student’s final mark
- N stands for the number of questions or, in other words, the maximum score to be obtained (e.g., 40).
Which is Easier: Standard Setting or Negative Marking?
The chances of success are equal in both cases. The take-home message, therefore, should always be mastering the learning content.
What is the biggest asset of standard setting? You can fully concentrate on the exam itself. There is no need for tactical considerations on whether or not to answer specific questions. In fact, it is in your best interest to answer all the questions, even if you are unsure!
Information on Standard Setting by the Lecturer
Lecturers will announce whether or not they apply the standard setting before the exam, either in class or on Ufora (or both).
Depending on the exam and based on the number and type of questions, lecturers can tell you the number of correct answers needed to pass the exam. They can also give you a conversion table.
If, for instance, an exam consists of 30 questions with 4 answer options and 8 statements, you will need at least 19 correct answers to pass. The conversion table below shows the final mark per number of correct answers.
|
Number of correct answers |
Final score on 20 (not rounded off) |
|
0 |
0,00 |
|
1 |
0,00 |
|
2 |
0,00 |
|
3 |
0,00 |
|
4 |
0,00 |
|
5 |
0,00 |
|
6 |
0,00 |
|
7 |
0,00 |
|
8 |
0,44 |
|
9 |
1,33 |
|
10 |
2,22 |
|
11 |
3,11 |
|
12 |
4,00 |
|
13 |
4,89 |
|
14 |
5,78 |
|
15 |
6,67 |
|
16 |
7,56 |
|
17 |
8,44 |
|
18 |
9,33 |
|
19 |
10,22 |
|
20 |
11,11 |
|
21 |
12,00 |
|
22 |
12,89 |
|
23 |
13,78 |
|
24 |
14,67 |
|
25 |
15,56 |
|
26 |
16,44 |
|
27 |
17,33 |
|
28 |
18,22 |
|
29 |
19,11 |
|
30 |
20,00 |
Use the standard setting and the conversion table as indicative instead of an exact and unchangeable fact. They are based on a specific number of questions and a specific question set with different answer options. Lecturers often decide to remove questions from the exam set before or after the exam. If they do, they do so on reasonable grounds. However, the standard setting and the conversion table may look slightly different.
This is no cause for worry, however. You do not need an exact standard setting and conversion table before sitting the exam. It should not impact your answer strategy during the exam. It is always in your best interest to answer all the questions. If answers are taken out of the exam set afterwards, this is always done to the student’s advantage.
Why Did We Dispense with Negative Marking?
Ghent University statisticians thoroughly researched negative marking using a literature review, quasi-experimental research, and probability analysis. This revealed that:
- students spend much time on tactical considerations (whether or not to answer questions) before, during and after the exam;
- a student’s decision whether or not to answer a specific question is not always a rational one;
- students with an equal mastery of the course content display substantial differences in their confidence to answer questions;
- the disparities in guessing behaviour might also entail a significant difference in a student’s final mark;
- students who are less likely to guess on an exam with negative marking are most likely to benefit from the transition to standard setting;
- many lecturers applied negative marking simply because they were used to it;
- chances of obtaining a pass mark through guessing are as slim in the case of standard setting as they are in the case of negative marking.
Dispensing with negative marking also means dispensing with any tactical considerations on whether or not you should answer a question. It is always in your best interest to answer all the questions.
The bias based on personality features (e.g., tendency to guess) that had found its way into assessment with negative marking is eliminated using a higher cut-off point or standard setting.
Contact

