Joint reconstruction of activity and attenuation in listmode TOF PET
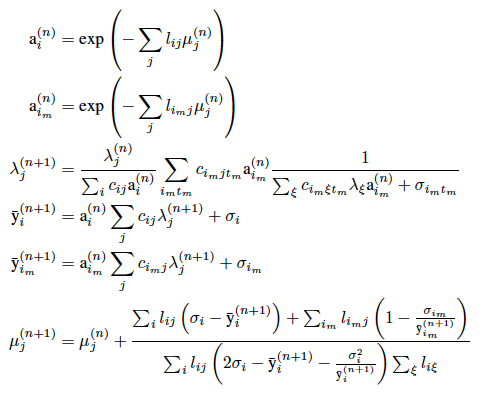
Joint reconstruction algorithms such as MLAA are capable to reconstruct both a PET image and the attenuation correction values (AC values) from Time-of-Flight PET data only. Although the inverse problem is ill-posed, the redundancy of the Time-of-Flight data allows to find AC values up to a constant scale factor. Current Medisip research focusses on listmode implementation of these algorithms and their extension to the case of prior information and to the case with background (scatter and random events).

Researcher: Ester D’Hoe