The Asklepios study – a reference for arterial hemodynamics and stiffness in middle-aged individuals
Background – round 1 (2002-2004) – cross-sectional data

Round 2 – 2013-2017 – longitudinal data
The same individuals, now aged 45-65 years old, were invited from 2013 to 2017 for a follow-up exam (visit 2; same single operator). To this call, 2252 returning volunteers (89.2% of the invited subjects) had their second visit. A follow-up study on the 2007 impedance and wave reflection cross-sectional study, has been published in 2021 in Hypertension.
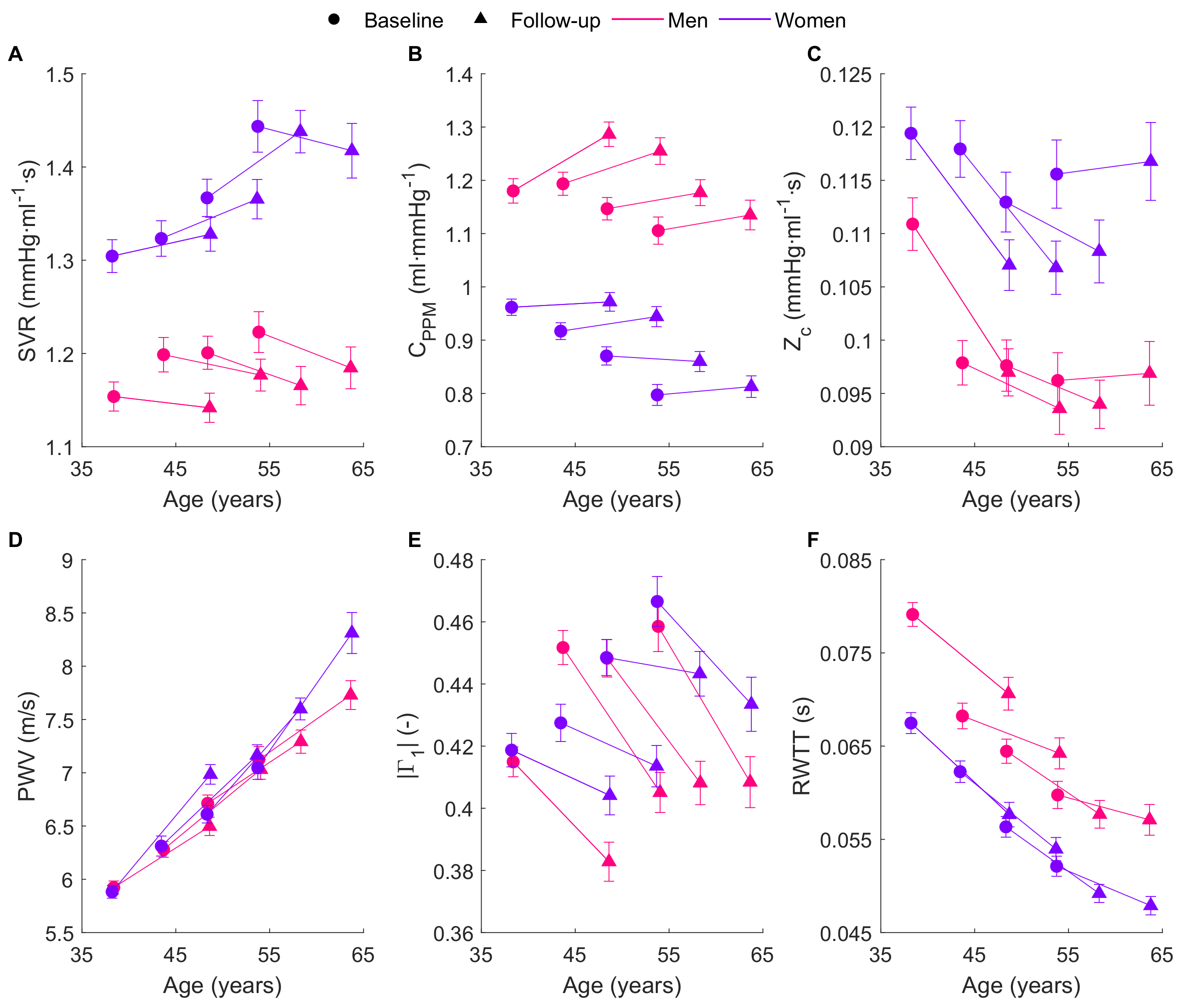
A major observation to notice from our longitudinal data is that for impedance and wave reflection parameters, longitudinal changes opposed to what was anticipated from the cross-sectional data over the studied age range. While the cross-sectional data showed a decrease with age in total arterial compliance and an increase in resistance, the longitudinal data demonstrated an increase in compliance and a decrease in resistance, mainly for men and at older ages. Pulse wave velocity accelerated with aging more in women than in men, and this was not paralleled by a decrease in arterial compliance, mainly in younger males. We hypothesize that aortic dilation and/or elongation play an important role determining the longitudinal age-related changes in impedance parameters for younger middle-aged subjects. Contrary to cross-sectional observations, wave reflection decreased with aging, supporting the hypothesis of impedance matching between the aorta and large peripheral arteries with aging, and suggesting limited effect of the backward pressure wave in the increase in pulse pressure at older age – at least in the age range studied. We concluded that the effective impact of aging on arterial system properties in our Asklepios population was not very well reflected by the round 1 cross-sectional data.
IBiTech researchers currently active on the project
- Patrick Segers (contact)
- Daimé Campos
Funding sources
- Fund for Scientific Research – Flanders (FWO-Vlaanderen) - grant G.0427.03
- Sandwich doctoral Scholarship (Daimé Campos) funded by Ghent University (01W03117)
Finalized PhDs within IBiTech
- Non-Invasive Assessment of Intraventricular and Arterial Haemodynamics: Tools to Guide Diagnosis and Therapy in Patients with Heart Failure with Preserved Ejection Fraction (Francisco Javier Londoño Hoyos)
- Arterial load and its impact on wall myocardial stress, dysfunction and heart failure risk in the general population (Julio A. Chirinos)
- Development and Validation of Non-Invasive Diagnostic Tools for the Assessment of Arterial Stiffness and Wave Reflections with Application in Sub-Saharan Africa (Jan Kips)
- Applied Arterial Mechanics: from Theory to Clinical Practice (Sebastian Vermeersch)
Relevant links
H2020 Vascular Aging COST action project



